Rational Numbers Class 8 Worksheet

Rational Numbers Class 8 Worksheet – Boost Learning at Home with Printable Worksheets.

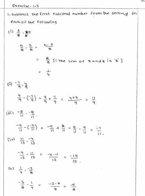
Understanding rational numbers is an important concept in mathematics for students in Class 8. By practicing worksheets specifically designed for rational numbers, students can enhance their problem-solving skills and gain a better understanding of this topic.

These worksheets cover various topics related to rational numbers, including operations like addition, subtraction, multiplication, and division. They also include questions on comparing and ordering rational numbers, converting fractions to decimals, and vice versa.

Ordering And Comparing Rational Numbers Worksheets LibraryOrdering And Comparing Rational Numbers Worksheets Library

What Are Rational Numbers Class 8 Worksheet?

Rational Numbers Class 8 Worksheet are ready-to-print activities you can print and use anytime. They include puzzles and quizzes, grammar tasks, and even creative drawing sections. Their flexible use makes them perfect for enriching lessons at home.

With the rise of at-home education, printable worksheets are a powerful tool for both teachers and parents. If you’re teaching from home or supporting after-school study, these worksheets deliver structured learning in a fun and engaging way.

CBSE Class 8 Mathematics Rational Numbers Worksheet Set B Worksheets CBSE Class 8 Mathematics Rational Numbers Worksheet Set B Worksheets

8th Math Rational Numbers Class 8 Worksheet Thekidsworksheet8th Math Rational Numbers Class 8 Worksheet Thekidsworksheet

Worksheet On Rational Numbers Class 8 Worksheet Live Worksheets Worksheet On Rational Numbers Class 8 Worksheet Live Worksheets

301 Moved Permanently Worksheets Library301 Moved Permanently Worksheets Library

Benefits of Rational Numbers Class 8 Worksheet?

The main advantage of printable worksheets is their convenience. You can choose topics that suit your child. Plus, they’re a screen-free solution for learning—perfect for breaks from gadgets.

Rational Numbers Class 8 Worksheet

One of the key benefits of using these worksheets is that they provide students with the opportunity to practice different types of questions, which can help them build confidence in solving problems. Additionally, these worksheets can be used as a tool for teachers to assess students’ understanding of rational numbers.

Students can also use these worksheets for self-study and revision purposes. By solving a variety of questions on rational numbers, students can strengthen their conceptual knowledge and improve their overall performance in mathematics.

It is recommended that students regularly practice these worksheets in order to master the concepts of rational numbers. Consistent practice can help students develop a strong foundation in mathematics and prepare them for more advanced topics in the future.

In conclusion, rational numbers Class 8 worksheets are a valuable resource for students to practice and improve their skills in mathematics. By using these worksheets, students can enhance their problem-solving abilities and gain a deeper understanding of rational numbers.