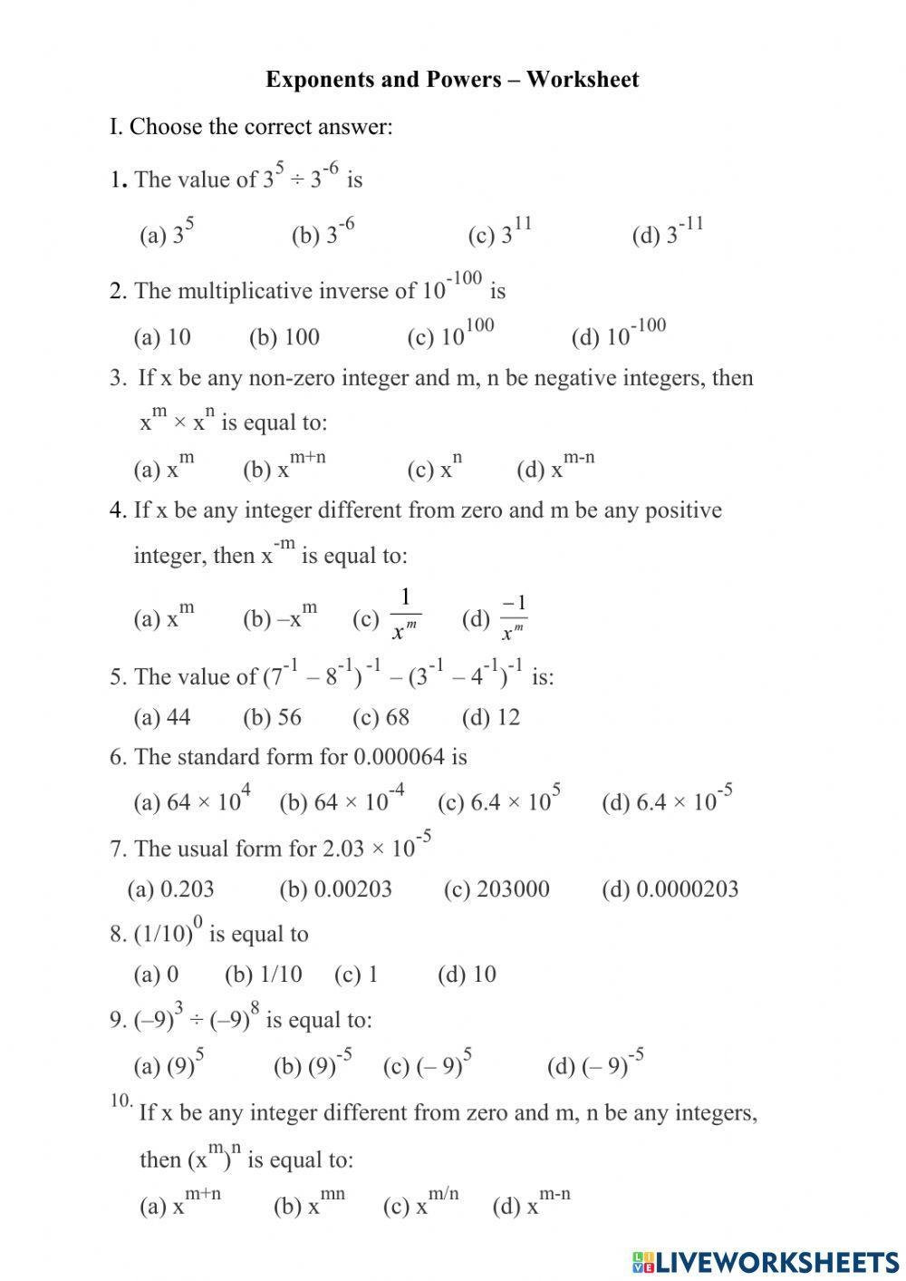
Exponents And Powers Class 8 Worksheet

Exponents And Powers Class 8 Worksheet – Boost Learning at Home with Printable Worksheets.

If you’re a student in Class 8 and looking for some extra practice with exponents and powers, you’ve come to the right place. Understanding exponents and powers is crucial for solving mathematical problems and this worksheet will help you hone your skills in this area.

Exponents and powers are mathematical concepts that involve numbers raised to a particular power. They are used to represent repeated multiplication and are commonly seen in algebraic expressions and equations. By mastering these concepts, you will be able to simplify complex mathematical problems with ease.

Class 8 Exponents And Powers Worksheet Worksheets LibraryClass 8 Exponents And Powers Worksheet Worksheets Library

Exponents And Powers Class 8 Worksheet Explained

Exponents And Powers Class 8 Worksheet are ready-to-print activities you can instantly download for use. They include math problems, writing prompts, and even fun art activities. Their flexible use makes them perfect for reviewing concepts at home.

In this modern learning age, printable worksheets are a powerful tool for educators and families alike. Whether your child is learning remotely or just helping with homework, these worksheets provide focused learning in a simple and effective way.

301 Moved Permanently Worksheets Library301 Moved Permanently Worksheets Library

Exponents Powers Laws Of Exponents Worksheet Live Worksheets Exponents Powers Laws Of Exponents Worksheet Live Worksheets

Worksheets For Class 7 Exponents And Powers Chapter 13 Worksheets For Class 7 Exponents And Powers Chapter 13

Multiplying Rational Expressions Worksheet 8th Math Cbse Exponents And Multiplying Rational Expressions Worksheet 8th Math Cbse Exponents And

Benefits of Exponents And Powers Class 8 Worksheet?

The biggest strength of printable worksheets is their customization. You can match them with your child’s needs. Plus, they’re a screen-free solution for learning—perfect for breaks from gadgets.

Exponents And Powers Class 8 Worksheet

This worksheet is designed to provide you with a variety of problems related to exponents and powers. It covers topics such as multiplying and dividing exponents, raising a number to a power, and using exponents in scientific notation. By practicing with this worksheet, you will improve your understanding of these concepts and build confidence in solving related problems.

One key aspect of exponents and powers is understanding the rules that govern their manipulation. These rules include the product rule, quotient rule, power rule, and zero exponent rule. By applying these rules correctly, you can simplify expressions and solve equations more efficiently.

Another important concept related to exponents and powers is scientific notation. This notation is used to represent very large or very small numbers in a more compact form. By learning how to convert numbers into scientific notation and perform operations with them, you will be better equipped to work with numbers of varying magnitudes.

Overall, practicing with this worksheet will help you solidify your understanding of exponents and powers and improve your problem-solving skills. So grab a pen and paper, and get ready to tackle some challenging problems!

In conclusion, mastering exponents and powers is essential for success in mathematics. This worksheet offers a valuable opportunity to practice and improve your skills in this area. By dedicating time to work through the problems and understand the underlying concepts, you will be well-prepared to excel in your Class 8 math studies. Happy practicing!