Division Question

Division Question – Boost Learning at Home with Printable Worksheets.

If you’ve ever struggled with division questions, you’re not alone. Division can be tricky, but with a few tips and tricks, you’ll be dividing like a pro in no time. Whether you’re a student studying for a math test or just looking to brush up on your division skills, this article is here to help.

Understanding the basics of division is key to solving division questions. Remember, division is the process of splitting a number into equal parts. When you see a division question, think about how many times the divisor can fit into the dividend. If you’re not sure where to start, try using long division or a division calculator to help you out.

Long Division Worksheets Grade 5 With Answers Long Division WorksheetsLong Division Worksheets Grade 5 With Answers Long Division Worksheets

Understanding Division Question

Division Question are downloadable sheets you can access and use on demand. They include math problems, writing prompts, and even coloring pages. Their flexible use makes them perfect for enriching lessons at home.

In today’s digital era, educational printables are a powerful tool for both teachers and parents. Whether your child is learning remotely or just helping with homework, these worksheets offer organized learning in a fun and engaging way.

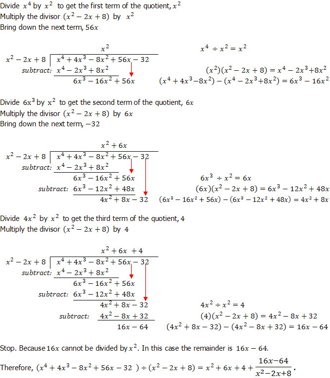
Algebraic Long Division Question 6 With Fully Worked SolutionAlgebraic Long Division Question 6 With Fully Worked Solution

Long Division Word Problems Worksheets Long Division WorksheetsLong Division Word Problems Worksheets Long Division Worksheets

Long Division Worksheet Answer Key Long Division WorksheetsLong Division Worksheet Answer Key Long Division Worksheets

Division QuestionDivision Question

Advantages of Division Question?

The key benefit of printable worksheets is their convenience. You can choose topics that suit your child. Plus, they’re a screen-free solution for learning—perfect for balancing tech use.

Division Question

When tackling a division question, it’s important to pay attention to the details. Make sure you understand what number is being divided and what number you’re dividing by. Keep track of your remainders and decimal points, and double-check your work to avoid any mistakes. Practice makes perfect, so don’t be afraid to work through a few division questions to build your confidence.

One common mistake when answering division questions is forgetting to check your work. It’s easy to make a small error that can throw off your entire answer. Take your time, double-check your calculations, and make sure your answer makes sense in relation to the original question. If you’re unsure about your answer, don’t hesitate to ask for help or seek additional resources to guide you.

Remember, division is just like any other math skill – it takes practice to master. By familiarizing yourself with division basics, practicing regularly, and seeking help when needed, you’ll be well on your way to acing division questions with ease. So, don’t be intimidated by division questions – embrace the challenge and watch your skills improve over time.

Next time you encounter a division question, approach it with confidence and remember these tips. With a little practice and patience, you’ll be dividing numbers like a pro in no time. Keep practicing, stay positive, and don’t be afraid to ask for help when needed. Division may seem daunting at first, but with determination and perseverance, you’ll conquer any division question that comes your way.